点击右上角
微信好友
朋友圈

请使用浏览器分享功能进行分享

伊尼妥单抗是我国第一个Fc段修饰、生产工艺优化、具有更强ADCC效应的创新抗HER2单抗,与化疗药物联合,已被证明可以延缓HER2阳性的转移性乳腺癌患者病情进展,并带来生存获益。但是伊尼妥单抗联合帕妥珠单抗在新辅助治疗过程中能否取代传统的抗HER2妥妥双靶治疗鲜有报道。本研究由复旦大学附属肿瘤医院邵志敏教授牵头开展:探索伊尼妥单抗联合帕妥珠单抗、白蛋白紫杉醇用于HER2阳性乳腺癌新辅助治疗的疗效与安全性,其研究结果在《Cancer Letters》上重磅发布。
精准治疗新策略:伊尼妥单抗双靶方案带来抗HER2治疗新选择
HER2阳性乳腺癌在所有乳腺癌中占比约为20%~30%,对于早期或局部晚期HER2阳性的乳腺癌患者,新辅助治疗达到完全缓解能够显著改善生存,目前TCbHP及THP方案已经成为标准治疗推荐。本研究参考当前临床实践,采用单臂、多中心的试验设计,纳入了62例HER2阳性(IHC 3+或者IHC 2+/FISH+)早期或局部晚期乳腺癌患者,采用wABX+HP4周期方案治疗:伊尼妥单抗(初始负荷剂量8 mg/kg,维持剂量为6 mg/kg,q3w,4周期)联合帕妥珠单抗(初始负荷剂量840 mg,维持剂量为420 mg,q3w,4周期)及白蛋白紫杉醇(剂量为125 mg/m2,qw,12周)。

图1:研究设计图

表1. 患者基线状况
疗效数据亮眼:HR阴性亚组tpCR率突破90%
经过12周,共计4个周期的治疗,全分析集(FAS)中的62例患者疗效可评价,总病理缓解率(tpCR)为56.5%(95% CI: 43.3%-69.0%),符合方案分析集(PPS)中的61例患者总病理缓解率(tpCR)为57.4%(95% CI: 44.1%-70.0%)(详见表2)。特别注意的是:雌激素受体(ER)阴性的患者tpCR高达90.9%(95% CI: 70.8%-98.9%)。
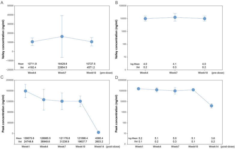
另外,作为探索性终点,平均最高血药浓度(Cmax)为126985.5 ± 38949.6ng/ml,平均最低血药浓度(Cmin)为10711.9 ± 4192.4 ng/ml(详见图2)。药代动力学的结果显示,Cmin显著高于同类产品有效阈值。

表2. 疗效数据

图2:给药前后药代动力学曲线(A/B分别为线性和半对数的谷浓度曲线,C/D分别为线性和半对数的峰浓度曲线)
安全性可控:未现新增风险信号
本研究观察到的不良反应与已知的安全性特征相符,未发现新的风险信号。主要的不良反应包括:血液系统异常,如白细胞计数降低、中性粒细胞计数降低、贫血,肝功能异常和腹泻等。≥3级的治疗相关不良反应主要为中性粒细胞计数降低(22.6%)、白细胞计数降低(11.3%)、感染性肺炎(3.2%)、贫血(3.2%)、腹泻(3.2%)(不良事件详见表3)。所有不良事件均未导致治疗终止或患者死亡,与现有双靶联合方案相比展现出更优的安全性谱。

表3.安全性数据
临床实践启示:精准治疗再添新证
本研究虽非头对头研究,但伊尼妥单抗双靶联合白蛋白紫杉醇较既往曲帕联合单化疗(THP)数据展现出更好的疗效趋势,与曲帕联合双化疗(TCbHP)的四药治疗方案的tpCR率也十分接近。而特别值得关注的是该方案不仅在全人群中表现出了较好的疗效,在HR阴性人群中更是表现出了与历史数据相比显著的tpCR优势。相比6周期治疗或4药联合方案,本研究中的伊尼妥单抗联合帕妥珠单抗和白蛋白紫杉醇安全性良好,不良反应可控。
本研究为HER2阳性乳腺癌新辅助治疗提供了兼具疗效与安全性的优化方案,特别是HR阴性患者观察到的突破性数据,可能改写临床实践。目前团队正在开展生物标志物探索,以进一步实现精准分层治疗。
这项具有里程碑意义的研究成果,为乳腺癌新辅助治疗领域注入新的活力。随着个体化治疗时代的到来,基于生物标志物的精准方案选择将成为临床决策的重要方向。
